糖心vlog

产品中心

首页 > 产品中心> 管道送排风糖心vlog

管道送排风糖心vlog

DBF系列低噪声离心式糖心vlog 箱

产品名称: DBF系列低噪声离心式糖心vlog 箱

广泛应用于工业生产、民用建筑、商业娱乐、文教卫生等行业的空调工程系统的送风和排风

详细信息

一、特性及应用

DBF系列糖心vlog 箱是专为满足不同工况运行的送风排风设备,根据季节变化及运行工况调节所需风量,节省能耗,并可同事向多方向的管道送风。具有运行平稳、噪声低、体积小、重量轻、外形美观、维护保养方便等优点。糖心vlog 箱亦可根据要求通过电源调压或电源变频来调节风量、风压,配置电控箱后可远程控制。

DBF-Ⅰ型糖心vlog 采用外转子电机驱动,多风结构,卧式为水平进出风,立式为水平进风垂直上出风。

DBF-Ⅱ型为前向多翼式离心糖心vlog 箱,单糖心vlog 皮带传动结构,风量大。

DBF-Ⅲ型为后向板式离心糖心vlog 箱,单糖心vlog 皮带传动结构,风压高。

DBF-Ⅰ型、Ⅱ型、Ⅲ型糖心vlog 箱可根据用户要求在进风口装设能起铝虑尘作用的空气过滤网,或加设初中效过滤段可用作净化糖心vlog 箱(箱体长度尺寸另行确定)。

产品详情

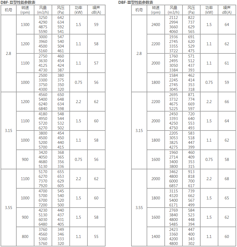
二、性能参数表 DBF-Ⅰ型性能参数表

image.png

image.png

image.png

image.png

image.png

image.png

image.png

image.png


糖心-糖心vlog官网-记录美好生活甜蜜的瞬间 糖心-糖心vlog官网-记录美好生活甜蜜的瞬间 糖心-糖心vlog官网-记录美好生活甜蜜的瞬间 糖心-糖心vlog官网-记录美好生活甜蜜的瞬间 糖心-糖心vlog官网-记录美好生活甜蜜的瞬间